板式链
对于链条而言,叉车和堆高机都是非常特殊的应用设备,每天需要不间断的往返载运各种大吨位的物质,并在重载的情况下做高频率的横移和升降操作。板式链条是叉车上的安全件,其耐用性有利于提高用户的工作效率和降低维护成本,而且其可靠性直接关系到重大财产安全和人身安全。
板式链是由多片链板与销轴组合而成,这种结构决定了板式链相比于其它链条,具有更大的强度/重量比,承载能力大,承受冲击能力强,维护简单。
CHJC为板式链这一传统的机械基础件赋予了一种全新的概念和功能,从而确保你的设备拥有更长的使用寿命、更高级别的安全性能和低的维护成本。

97国际在板式链条的研发制造过程中,秉承“一切为了安全”的理念,从6大方面严把板式链条品质关,97国际板式链条一直以耐磨、高强度、长寿命而广受客户的赞誉。

仅选用高等级的材料
根据我们的实践经验,不同钢厂出品的原材料,即使是同样的钢材牌号、类似的钢材元素,采用相同的精加工、热处理及装配工序制造出来的链条,在疲劳载荷方面的表现差异也非常大。97国际的板式链条仅选用特定钢厂的高质量原材料,以保障板式链条的品质稳定性。
自主知识产权的高精模具孔径质量、节距散差、孔光亮带等链片关键点,是链片承载一致性、链条牢固度和疲劳性能的关键要素。97国际采用特定的高精度模具加工零件,链片孔的光亮带确保在80%以上。
高质量的热处理和表处理97国际采用先进技术的连续式网带炉加工链条零部件,保证零部件热处理的高质量和一致性。97国际板式链链条的零部件,全部采用钢丸喷丸处理,进一步提高了链条的疲劳强度。
光学影像检测97国际板式链条的销轴,实现100%光学检测,彻底杜绝了传统依靠人眼识别不良品而带来的品质风险。利用光学检测技术对产品的缺件、装配不良等方面再次检测。
全自动装配和在线检测线由97国际自主研制的全自动装配和在线检测线,集组装、机械式缺件检测、磁感应缺件检测、长短销检测、静态预拉、铆合、上油、拆节等工序于一体,大大提高了生产效率,降低了品质对人的依赖度。
所有链条都在预拉。高质量的预位不公有效提高链条的初期伸长及疲劳强度,同时也具有链条校直的作用。
品质追溯系统97国际板式链全面实施精准生产模式,制造和品管数据全部储存于集团EAS系统,可按需要实现品质追溯,直至原材料供方和材料批号。
我们可根据客户需要提供卷装链条和带螺杆链条。
快速响应
97国际有独立的板式链制造部门和专职营销队伍,并有相应量备货,能快速响应客户的需求。
全系列叉车链条及附件
97国际能提供全系列叉车链条及附件,包括AL系列、BL系列和LL系列板式链、液压油泵齿形链、带油管导槽链条、带螺杆链条。此外,根据不同的叉车作业环境,我们向客户分别推荐磷化发黑、达克罗、钢本色3类不同的产品。
定制开发
97国际已为多家主机厂提供链条及附件定制开发,并提供润滑防锈方面的综合方案。
AL系列板式链的零件源于ANSI滚子链标准,链板的外形尺寸和销轴直径等同于同节距滚子链的外链板和销轴,是一种轻系列板式链。适于直线往返传动结构。
表内最小抗拉强度值不是板式链的工作载荷。在提升应用时,设计者或使用者要给予一个至少为5:1的安全系数。

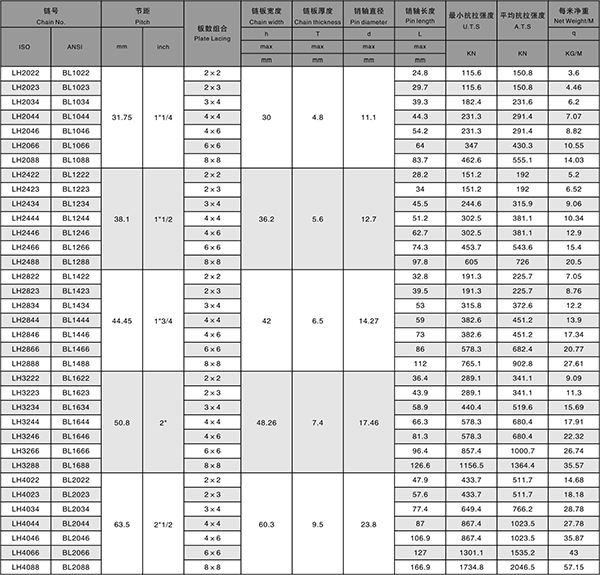
BL系列板式链的零件源于ANSI滚子链标准,链板的外形尺寸等同于同节距滚子链的外链板,但链板的厚度加厚,销轴的直径加大,因此是一种重系列板式链。适于直线往返传动结构。
表内最小抗拉强度值不是板式链的工作载荷。在提升应用时,设计者或使用者要给予一个至少为5:1的安全系数。


LL系列板式链的零件源于BS滚子链标准,链板的外形尺寸和销轴直径等同于同节距滚子链的外链板和销轴,是一种轻系列板式链。适于直线往返传动结构。
表内最小抗拉强度值不是板式链的工作载荷。在提升应用时,设计者或使用者要给予一个至少为5:1的安全系数。

带油管导槽链
根据不同的叉车作业环境,我们向客户分别推荐磷化发黑、达克罗、钢本色3类链条,以及镀铬和磷化发黑2类螺杆。
实践证明,钢本色链条和磷化发黑链条能满足绝大部分工作环境的要求。其中,磷化发黑链条具有较高的防锈性能,中性盐雾试验结果显示,防锈时间可达60-80小时,不仅大大超过镀锌的防锈效果,也避免了电镀链条可能产生的脆性。
达克罗链条具有良好的防腐蚀性能,特别适用于潮湿环境或对锈蚀特别敏感的工作环境,比如食品等领域。中性盐雾试验结果显示,达克罗链条的防锈时间达到500小时以上。
叉车液压油泵齿链









